Pour l’instant, la France est dotée d’environ 50 000 points de recharges (novembre 2021), et poursuit l’objectif de 100 000 points de charge ouverts dès 2022, puis 7 millions en 2030 [26]. Malheureusement, il est désormais certain que l’objectif pour 2022 ne sera pas atteint et, dès lors, le gouvernement annonçait fin 2021 une augmentation de 200 millions d’euros supplémentaires pour financer le programme d’extension des bornes de recharge jusqu’en 2024. Si le déploiement d’un réseau de recharge rapide peut se focaliser prioritairement sur les axes autoroutiers les plus fréquentés, on observe un décalage entre les axes les mieux dotés et la fréquentation. La carte 1 montre un réseau de bornes de recharge très inégalement réparti. L’A11 est la mieux desservie, au contraire de l’A6 qui est pourtant l’un des axes les plus fréquentés en France. L’enjeu réside dans le raccordement des stations-services aux réseaux électriques, mais aussi au dimensionnement des stations nouvelle génération. En effet, la hausse de la demande en véhicule électrique requiert une plus forte dotation en bornes de recharge, d’une part, et d’autre part le temps requis par une charge suffisante (30 min) risque de surcharger les stations. Ainsi faut-il remplacer une pompe à essence par plusieurs bornes de recharge pour assurer une fluidité du service. Il convient également de dimensionner les stations au-delà des objectifs d’horizon 2025, rapidement obsolètes. Enfin, le coût d’une recharge rapide reste très élevé, en partie à cause de l’important travail de raccordement et de l’intensité du courant délivré (1 million d’euros pour 6-8 bornes de recharges [27]). En effet, le coût d’une recharge rapide pour 100 km serait d’environ 18 euros sur autoroute, tandis que l’équivalent d’un plein d’essence en coûterai 12 [28]. Un coût au moins similaire au plein d’essence encouragerait fortement les usagers à utiliser ce service, en complément des recharges longues, à domicile ou au travail, nettement moins chères.
Mobilités bas-carbone et inégalités : L’État catalyseur de transition
La transition bas-carbone des mobilités est l’occasion de repenser le rôle d’un État catalyseur de transitions visant à limiter la formation de nouvelles inégalités dans le contexte de la transition bas-carbone des mobilités.
Le secteur du transport est le principal émetteur de CO2 dans le monde. Indispensable pour atteindre les objectifs fixés par les Accords de Paris (COP 21), la transition bas-carbone des mobilités constitue un défi majeur des politiques publiques, tant elle suscite d’importants mouvements de contestation (bonnets rouges, gilets jaunes) où sont parfois opposés « la fin du monde » et « fin du mois ». Si les objectifs généraux de la transition bas-carbone des mobilités font l’objet d’un assez large consensus en France, les modalités de mise en œuvre de l’action publique font l’objet de nombreuses critiques et sont notamment accusées de renforcer les inégalités sociales et territoriales. Dès lors, comment réinventer l’État pour relever le défi de la transition bas-carbone des mobilités sans former de nouvelles inégalités ? Dans cette première note, nous aborderons d’abord le défi de la transition bas-carbone des mobilités face aux enjeux des inégalités. Puis, nous proposons d’esquisser les contours d’un État catalyseur de transition visant à limiter la formation de nouvelles inégalités dans le contexte de la transition bas-carbone des mobilités.
I/ Le défi de la transition bas-carbone des mobilités face aux enjeux des inégalités
Quels sont les grands enjeux du problème du réchauffement climatique en lien avec les mobilités et les stratégies permettant de décarboner le secteur des transports des personnes ? Les inégalités sociales et territoriales en matière d’émissions de CO2 liées au transport sont très significatives, et un sondage réalisé par Ipsos pour le compte de La Fabrique de la Cité[1] montre que si les Français ont une bonne prise de conscience des enjeux, des inégalités persistent pour passer à l’action. Le risque, non négligeable, est que la transition renforce les inégalités existantes.
1. Les grands enjeux mobilités – climat et les différentes stratégies permettant de décarboner le secteur des transports
Le transport est le principal émetteur de CO2 dans le monde et, en France, il représente 30% des émissions[2]. Seul secteur n’ayant pas diminué son impact depuis 1990, il doit surtout sa mauvaise performance au transport routier (95% des émissions[3]). La décarbonation du secteur du transport est cruciale pour respecter ces objectifs. En France, en 2019, le transport de marchandises, principalement via poids-lourds, représente 42% des émissions du secteur des transports, et le reste revient au transport de personnes[4].
A l’échelle mondiale, la trajectoire « Net-Zéro » de l’Agence Internationale de l’Énergie préconise une baisse des émissions de CO2 du transport à 5,5 Gt[5] en 2030 (contre 8,5 Gt en 2019), puis 0,7 Gt en 2050 (soit une baisse de 90% par rapport au niveau de 2020). Pourtant, les politiques publiques établies dans le monde visant la décarbonation du transport ne sont pas encore en adéquation avec ces objectifs : un rapport de l’OCDE[6] pointe que seuls 2 pays parmi les 194 signataires des Accords de Paris (COP 21) ont mis en place un objectif net-zéro dans leur stratégie nationale de décarbonation du secteur de transport, alors que 33 pays ont adopté un objectif net-zéro pour la stratégie nationale de décarbonation globale de leur économie. Par ailleurs, 85 % des pays signataires ne se sont fixé encore aucun objectif en matière de décarbonation du secteur du transport.
Sur le continent européen, les lignes bougent : en juillet 2021, la Commission Européenne a dévoilé son plan le plus ambitieux à ce jour, pour transformer les objectifs de décarbonation en actions concrètes au cours de la décennie 2020, et la France s’est fixée sur la même période un objectif de réduction de ses émissions de près de 40% par rapport à 1990[7].
En France, la mobilité routière est largement dominée par la voiture, encore préférée dans les zones résidentielles, petites villes et espaces périurbains et ruraux. L’autoroute, quant à elle, représente près de 25 % des émissions du transport (et 1 % du linéaire routier). Dans la classification du bilan carbone de l’autoroute, il est estimé que 95 % des émissions de gaz à effet de serre (GES) d’une autoroute appartiennent au scope 3[8], soit les émissions indirectement produites hors consommations énergétiques [9]. Le scope 3 représente donc un défi majeur qui appelle à la coopération urgente avec l’ensemble des acteurs de l’écosystème routier, des fournisseurs aux clients. Il s’agit principalement des émissions des automobilistes sur le réseau routier.
Publiée en 2015, la Stratégie Nationale Bas Carbone (SNBC) ambitionne une décarbonation quasi-complète du secteur des transports à horizon 2050, alors qu’il dépend à 90% du pétrole. Cette stratégie se fonde sur plusieurs piliers : 1) Modérer la demande de transport et la réduire au possible ; 2) Favoriser le report modal ; 3) Optimiser l’utilisation d’un véhicule (lutte contre l’autosolisme) ; 4) Efficacité énergétique et consommation des véhicules ; 5) Électrifier le parc automobile. Ces mesures concernent à la fois le transport de marchandises et de personnes. Il est à noter que la SNBC ne repose pas sur une baisse de la demande de transport, mais sur sa modération. La principale orientation stratégique de la SNBC repose principalement sur un découplage entre demande et émissions de CO2. Cette stratégie est dépendante des évolutions technologiques en matière d’efficacité énergétique des véhicules et d’électrification du parc automobile et peut présenter le risque de faire l’objet d’effets rebonds.
En replaçant dans une perspective historique les émissions de CO2 du secteur du transport français depuis les années 1960, Aurélien Bigo[10] met en discussion les leviers proposés par la Stratégie Nationale Bas Carbone (SNBC) pour décarboner le secteur du transport. Il observe que ces émissions ont augmenté sans discontinuer jusque dans les années 2000, avant de connaître une stagnation, puis une légère décrue. Ces tendances valent pour le transport de marchandises, comme le transport de voyageurs.
En décomposant ces émissions de CO2 en différents facteurs, Aurélien Bigo montre que l’évolution de la demande a été le principal facteur explicatif de l’évolution des émissions sur la période. Le découplage entre demande et émissions est très faible sur la période, les autres facteurs s’étant majoritairement compensés entre eux. Le pic des émissions début 2000 est dû à un plafonnement de la demande pendant quelques années pour les voyageurs, couplé à l’efficacité énergétique, un léger report modal vers le train et au développement des agrocarburants. A partir de ces résultats, Aurélien Bigo appelle à développer une stratégie reposant à la fois sur le levier technologique et sur le levier de la sobriété. En effet, si le levier technologique est indispensable à la transition, il reste soumis à des freins importants (coût de technologie, impact environnemental, trop faible diffusion, effet rebond). C’est là que la sobriété peut aider à diminuer ces freins, et in fineaméliorer l’acceptabilité des changements, et l’efficacité technologique (baisse d’impacts environnementaux).
La sobriété désigne en réalité deux termes : la sobriété d’usage, pour éviter l’effet rebond (consommer davantage grâce à une innovation), et la sobriété de conception (à la charge du concepteur de fabriquer un bien sobre). L’alliance des deux assure davantage d’efficacité dans l’utilisation des ressources, et réduit l’impact de la consommation.
Dans le cadre de son Plan de transformation de l’économie française (PTEF) [11], le Shift Project cherche à développer un scénario prospectif en rééquilibrant le poids du levier de la sobriété par rapport au levier technologique. Il va dans le sens des travaux d’Aurélien Bigo, et avance l’idée qu’une baisse de la demande de transport automobile est nécessaire pour respecter les Accords de Paris : à horizon 2050, la trajectoire proposée repose sur une réduction du kilométrage annuel parcouru par le parc des véhicules particuliers de 34 % à 40 %, ainsi qu’une réduction de la taille du marché du véhicule neuf du même ordre de grandeur [12]. L’amélioration du taux de remplissage des véhicules et le report modal de la voiture vers d’autres modes permettraient de rendre possible la baisse de la demande de transport automobile. Par ailleurs, l’émergence de micro-véhicules, vélo-cargos et autres deux-roues électriques constituent de nouvelles solutions pour des mobilités individuelles moins émissives.
Le Shift Project et les travaux d’Aurélien Bigo défendent un équilibre entre l’innovation technologique et la sobriété, afin de bénéficier de la première sans ses impacts négatifs. Pierre Veltz dépasse même cet équilibre dans le terme de « sobriété systémique ».[13] La sobriété systémique, ou sobriété de masse, est un dépassement de la seule adéquation entre sobriété d’usage (à charge de l’individu) et la sobriété de conception (à charge du concepteur). Elle désigne une sobriété d’usage et de conception répandue à tous les usages, et toutes les conceptions. Plus difficile pour la phase de conception, la sobriété systémique passe par une prise de conscience collective des enjeux, pour éviter l’écueil d’une polarisation entre technophiles et technophobes. L’enjeu est de trouver comment, au-delà de la coercition ou de la croyance en des comportements individuels vertueux, atteindre ce débat. De là le terme systémique, car cette sobriété-là questionne l’organisation-même de nos sociétés. C’est aussi, enfin, faire prendre conscience des inégalités d’accès et d’acceptabilité.
L’équilibre entre sobriété et technologie, défendu par Aurélien Bigo et le Shift Project, dépend fortement de l’existence d’alternatives décarbonées à bas coût. En effet, la sobriété et une demande plus contenue peuvent ralentir l’utilisation de masse et la forte augmentation de la demande en innovation, censées réduire le prix des technologies. C’est donc tout l’enjeu de la politique publique et de l’État Catalyseur : faciliter l’équilibre entre les deux en assurant un faible impact environnemental, un coût acceptable et un soutien aux filières d’avenir innovantes. Le risque étant d’accroitre les inégalités préexistantes.
2. L’angle-mort des stratégies de décarbonation des transports : les inégalités sociales et territoriales d’émissions de CO2 liées au transport
S’il est un angle-mort de la réflexion prospective en matière de stratégie de décarbonation du secteur du transport des personnes, c’est bien celui des inégalités. Une première manière d’aborder le sujet consiste à identifier les inégalités sociales et territoriales en matière d’émissions de CO2 liées au transport. Pour éclairer cette question, nous reprenons ici les travaux d’Antonin Pottier et ses collègues qui ont dressé en 2020 un Panorama critique des inégalités écologiques en France [14].
L’empreinte carbone est proportionnelle au revenu des ménages : plus un ménage est riche, plus ses émissions de CO2 sont importantes. Cela est vrai en général pour l’empreinte carbone globale d’un ménage, mais également plus spécifiquement pour les émissions de CO2 liées au transport. Pour aller plus loin, il convient d’analyser les modes de mobilités utilisés par les différentes catégories de ménages pour comprendre les disparités d’empreinte carbone. Le graphique 2 montre la forte variation d’usages et de mobilités par décile, et illustre les inégalités en fonction des niveaux de vie. Les catégories de mobilité sont différentes, avec davantage de trajets locaux en voiture pour les plus pauvres, tandis que les plus riches effectuent plus des trajets longue-distance marqués par les émissions d’avions. La consommation par kilomètre compte finalement peu dans le calcul des émissions carbones, mais la distance parcourue est plus significative et éclairante : les plus pauvres parcourent beaucoup moins de kilomètres par an (trois fois moins).
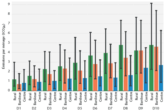
Il existe des disparités de consommation et d’usages entre centre, banlieue et périphéries des villes. Le graphique 3 illustre les inégalités d’émissions liées au transport par décile de niveau de vie et localisation. Ce graphique montre qu’un ménage très aisé en milieu urbain (D10 Centre) peut avoir des émissions carbones équivalentes à un ménage de la classe moyenne en milieu rural (D6 Rural). Par ailleurs, si seulement 35 % des ménages ruraux et 38 % des ménages de banlieue émettent moins de 1 tCO2 par an pour leur transport, une majorité d’urbains y parviennent (53%).
Identifier les inégalités sociales et territoriales en matière d’émissions de CO2 liées au transport est une première approche nécessaire pour intégrer les enjeux des inégalités aux réflexions prospectives en matière de décarbonation des mobilités. En croisant les différences de niveaux de vie d’une part et des modes de vie d’autre part, on obtient un panorama des inégalités d’empreinte carbone plus complexes que les clivages traditionnels (urbain/rural) ou par la seule approche par revenus. Il convient à présent de saisir cette complexité en cherchant à mieux comprendre les modes de déplacement et les attentes des Français vis-à-vis des mobilités bas-carbone.
3. Du point de vue des Français, une prise de conscience généralisée, mais des inégalités persistantes pour passer à l’action
S’il semble nécessaire de mieux articuler le levier de la sobriété avec le levier technologique, dans quelle mesure une telle stratégie est-elle possible en l’état actuel des mobilités quotidiennes des Français ? Par exemple, dans quelle mesure les Français peuvent-ils se passer de la voiture ? C’est pour répondre à ces questions que la Fabrique de la Cité a commandé un sondage auprès de l’institut Ipsos[1] pour mieux comprendre les modes de déplacement et les attentes des Français vis-à-vis des mobilités bas-carbone. Réalisé en décembre 2021, ce sondage montre une forte prise de conscience des Français vis-à-vis de l’impact environnemental des transports qu’ils utilisent : 48 % des Français reconnaissent que la manière dont ils se déplacent quotidiennement n’est pas écologique (60 % en zone périurbaine contre 37 % dans les centres urbains). De cette prise de conscience découle une volonté d’agir : 91 % des Français déclarent qu’ils aimeraient pouvoir réduire l’impact écologique de leurs déplacements quotidiens. 51 % des sondés se donnent moins de cinq ans pour utiliser un moyen de déplacement moins polluant.
Toutefois, au-delà des éléments déclaratifs, deux points de vigilance peuvent constituer un frein à la conduite du changement. Tout d’abord, il convient de distinguer la prise de conscience partielle des problèmes d’environnement, et la prise de conscience totale des enjeux, notamment de l’ampleur et de la complexité des phénomènes à l’œuvre autour du réchauffement climatique. Une prise de conscience partielle des enjeux peut amener à prendre des décisions en décalage avec l’objectif de réduction des émissions de gaz à effet de serre. Par exemple, la méconnaissance des ordres de grandeur en matière d’émissions de GES peut amener certaines personnes à concentrer leurs efforts sur des mesures anecdotiques par rapport à leur empreinte carbone. De même, l’usage d’un objet est parfois en décalage avec son potentiel environnemental : c’est par exemple le cas, lors d’un usage fréquent d’un véhicule hybride rechargeable sans recharger la batterie électrique. La limite du sondage commandé est qu’il ne permet pas d’estimer le niveau de prise de conscience (partielle ou totale) et de connaissance des enjeux liés au réchauffement climatique.
Ensuite, quand bien même la prise de conscience serait totale, les déclarations d’intention ne sont pas nécessairement suivies d’effets. Les résultats du sondage commandé par la Fabrique de la Cité mettent en évidence que le passage à l’action demeure encore difficile, tant la dépendance à l’automobile et les habitudes de déplacements peuvent constituer des freins aux objectifs de décarbonation. En l’état actuel, l’objectif de réduction du kilométrage annuel parcouru par le parc des véhicules particuliers de 34 % à 40 % formulé par le Shift Project[2] semble difficile à atteindre. En effet, il demeure très difficile pour une large majorité de Français de se passer de la voiture qui représente un moyen de déplacement majeur pour les mobilités quotidiennes : 75 % des Français utilisent quotidiennement la voiture pour se déplacer, et ce chiffre dépasse les 85 % dans les espaces péri-urbains et ruraux. De plus, 73% des personnes interrogées jugent difficile voire impossible de réduire l’impact écologique de leurs déplacements quotidiens. 51 % des automobilistes sondés souhaitent se passer de leur voiture, mais affirment que cela est encore impossible.
En l’état actuel des infrastructures de transport, la dépendance du rural et du périurbain à la voiture ne pourra, dans les prochaines années, être reportée facilement vers d’autres modes. 51% des Français pensent par exemple qu’il est difficile de prendre les transports en commun ; c’est le cas de 76% des habitants des agglomérations de moins de 20 000 habitants. De ce fait, 36 % des répondants envisagent d’acheter un véhicule électrique ou hybride afin d’améliorer l’impact de leurs déplacements, ce qui est cohérent avec l’objectif d’électrification du parc automobile portée par la Stratégie Nationale Bas Carbone. Toutefois, ce chiffre peut paraître insuffisant par rapport au nombre de personnes qui se déclarent dépendantes de la voiture.
Le sondage rapporte d’autres faits qui peuvent alerter sur le possible décalage entre les attentes de mobilité des Français et le volet transport de la SNBC. En effet, le covoiturage est la solution la moins privilégiée (11 %) par les Français pour réduire le plus facilement l’impact écologique de leurs déplacements quotidiens, alors qu’il constitue la principale mesure de lutte contre l’autosolisme. Enfin, certaines solutions ne semblent pas à la hauteur des enjeux, comme l’achat d’un véhicule thermique plus récent (cité par 14 % des répondants), alors que c’est l’électrification du parc automobile qui est prioritaire dans le cadre de la SNBC.
Les résultats du sondage commandé par la Fabrique de la Cité montrent qu’au-delà des déclarations d’intention des Français témoignant d’une large volonté de réduire l’impact écologique de leurs déplacements quotidiens (91%), il existe encore de nombreux décalages entre les objectifs fixés par la Stratégie Nationale Bas Carbone et les changements auxquels les Français sont préparés. Il convient de prendre en compte ces résultats pour mieux articuler les objectifs fixés par la SNBC et les leviers de l’action publique permettant de favoriser la conduite du changement, notamment en matière de développement du report modal, d’optimisation de l’utilisation d’un véhicule et d’électrification du parc automobile.
4. Des inégalités sociales et territoriales existantes que la transition bas carbone peut renforcer
Si les Français se déclarent majoritairement volontaires pour réduire l’impact écologique de leurs déplacements quotidiens (91%), les modalités de mise en œuvre de l’action publique font l’objet de nombreuses critiques et sont notamment accusées de renforcer les inégalités sociales et territoriales. La transition bas-carbone des mobilités constitue un défi majeur des politiques publiques, tant elle suscite d’importants mouvements de contestation (bonnets rouges, gilets jaunes) où sont parfois opposés « la fin du monde » et « fin du mois ». Ainsi, une très large majorité des Français estiment que la transition climatique doit préserver la situation des classes moyennes (88 %) et des plus démunies (86 %) [17].
Sans prétendre dresser un tableau exhaustif des inégalités sociales et territoriales déjà existantes en matière de mobilité, il convient de rappeler quelques chiffres clefs. La fragmentation du territoire français entre des métropoles internationalisées et des villes moyennes, parfois reléguées au second plan, dépend beaucoup de l’accès à la mobilité. Une étude de l’INSEE [18] montre que le nombre de navetteurs (actifs ne travaillant pas dans leur commune de résidence) croît plus fortement dans les communes peu denses ou très peu dense [19] (des augmentations respectives de 8 % à 10 % entre 1999 et 2013, contre 3 % pour les communes densément peuplées). Ensuite, dans la même période, la distance parcourue médiane augmente de 2 km (13 km en 1999). Enfin, les grandes aires urbaines françaises (l’INSEE en dénombre 241) attirent 78 % des flux de navetteurs.
La dépendance plus ou moins forte à la voiture constitue une des figures des inégalités territoriales. Les résultats du sondage Ipsos montrent que pour les déplacements quotidiens, les Français utilisent toujours très majoritairement la voiture en zone rurale (86 %) et périurbaine (87 %). Dans les centres urbains, la voiture reste majoritaire (61 %), mais son utilisation est moins forte dans l’agglomération parisienne (52 %).
Pour apprécier les différents degrés de dépendance à la voiture selon les territoires, on peut observer la part des Français déclarant vouloir se séparer de leur voiture pour leurs déplacements quotidiens, mais se trouvant dans l’impossibilité de le faire en l’état actuel des alternatives : ils sont majoritaires dans ce cas en zone rurale (67 %) et périurbaine (60 %), et minoritaires en banlieue (44 %) et en milieu urbain (37 %). Pour être juste, une politique de transition vers des mobilités bas-carbone doit tenir compte de ces disparités spatiales en matière de dépendance à l’automobile.
Selon leur mode de vie, les solutions privilégiées par les Français pour réduire leur impact écologique consiste à se déplacer davantage à pied ou à vélo (37 %) ou à acheter un véhicule électrique ou hybride (36 %). Utiliser davantage les transports en commun arrive seulement en troisième position (21 %) avec le sentiment qu’il n’est pas toujours facile d’y recourir. Les transports en commun constituent le premier secteur où investir selon les sondés (46 %).
En identifiant les inégalités sociales et territoriales en matière d’émissions de CO2 liées au transport, nous avons cherché à intégrer les enjeux des inégalités aux réflexions prospectives en matière de décarbonation des mobilités. Dans cette perspective, les résultats du sondage révèlent une tension manifeste entre le souhait exprimé par une large majorité de Français de réaliser la conversion carbone de leurs mobilités et la difficulté de passer à l’action concrètement. La voiture demeure incontournable pour une grande proportion d’automobilistes, notamment dans les espaces ruraux et périurbains. Et même dans la région la mieux dotée en transport en commun, l’Île-de-France, seule une courte majorité de franciliens utilisent quotidiennement ce mode de déplacement (53% – dont une partie combine donc l’utilisation des transports en commun et de la voiture). Dès lors, les besoins en investissements publics et privés sont colossaux pour encourager l’électrification du parc automobile, et l’investissement dans les transports publics. Mais bien plus qu’une réflexion sur les moyens financiers à mobiliser pour accélérer la transition bas-carbone des mobilités, c’est à une nouvelle conception organique de l’État qu’il faut s’atteler. C’est pourquoi il nous semble indispensable d’engager une réflexion exploratoire autour de ce que nous proposons d’appeler un « État catalyseur de transition ».
II/ Un État catalyseur de transition visant à limiter la formation de nouvelles inégalités dans le contexte de la transition bas-carbone des mobilités
Quels pourraient être les contours d’un « État catalyseur de transition » capable de limiter la formation de nouvelles inégalités dans le contexte de la transition bas-carbone des mobilités ? L’expression d’« État catalyseur de transition » tire son inspiration de la chimie où un catalyseur est défini comme « une substance qui augmente la vitesse d’une réaction chimique sans paraître participer à cette réaction » [23]. Dans cette perspective, l’État catalyseur de transition a pour objectif d’accélérer la vitesse de la transition vers une société bas carbone sans pour autant se substituer à l’ensemble des acteurs qui doivent prendre leur part de responsabilité (entreprises, collectivités territoriales, citoyens).
Pour agir, sans renforcer les inégalités existantes, l’État doit viser à accélérer le déploiement de technologies matures afin de structurer un réseau de mobilités bas carbone sur tout le territoire, soutenir les nouvelles filières stratégiques à la décarbonation des transports et l’investissement en recherche dans des technologies de rupture. Toutefois, l’État catalyseur de transition ne peut se résumer à un simple « New Deal » vert, tant les enjeux ont évolué depuis le programme de Roosevelt : il ne s’agit plus seulement de relancer la croissance et les créations d’emplois par une ambitieuse politique de nouvelles infrastructures, mais bien de transformer l’infrastructure même de notre économie, pour rendre possible une sobriété systémique.
Il est indispensable de renouveler notre conception du « New Deal » sous la double contrainte des ressources budgétaires et planétaires. C’est pourquoi nous proposons un « Renew Deal » en refusant la tabula rasa aux conséquences écologiques, sociales et économiques mal maîtrisées et en affirmant l’impérieuse nécessité de réinvestir l’existant pour être à la hauteur du défi climatique, plutôt que de forcément construire du neuf.
1. La nécessité d’investissements publics dans le déploiement de technologies matures permettant de structurer un réseau de mobilités bas carbone sur tout le territoire
Dans le domaine des mobilités bas carbone, la priorité d’investissement réside dans le déploiement de technologies matures permettant de structurer un réseau de mobilités bas carbone sur tout le territoire. Un bon exemple en la matière est le déploiement d’un réseau de recharge pour les véhicules électriques sur l’ensemble du territoire.
Il convient de distinguer deux systèmes de recharge : la charge rapide, pour les utilisateurs pressés, en déplacement, que l’on peut situer le long des axes autoroutiers (exemple des superchargers Tesla), et la recharge plus lente (à domicile, ou sur le lieu de travail). Les deux systèmes ne demandent pas le même raccordement électrique, ni, logiquement, les mêmes coûts.
Le sondage Ipsos pour La Fabrique de la Cité le montre, le besoin de bornes supplémentaires est évoqué par de nombreux Français (45 %), et 56 % d’entre eux soulignent l’importance de la vitesse de charge. Si une étude Enedis montre que 9 utilisateurs sur 10 privilégient la recharge à domicile [24], il n’en demeure pas moins que l’enjeu véritable se situe dans le déploiement d’un système de recharge rapide, efficace et bien maillé sur tout le territoire. En effet, il convient, dans un souci de sobriété de conception des véhicules, de stopper la course à la taille des batteries pour les voitures : face aux désastres environnementaux que la recherche de métaux rares [25] engendre, et les déperditions énergétiques que provoque l’augmentation du poids des véhicules, proposer des batteries de 40 à 50kWh convenant largement pour la majorité des usages constitue un enjeu majeur de la stratégie globale de décarbonation des transports. Enfin, un réseau de recharge rapide et bien maillé assure aussi une mobilité électrique longue distance, et encourage les utilisateurs réticents à basculer à cause du risque de la faible autonomie.
À l’échelle des agglomérations, on observe que les centres commerciaux de périphérie et d’entrée de ville polarisent souvent la localisation de ces points de charge [29] au détriment des espaces résidentiels ou de bureaux, pourtant incontournables. Ainsi, en plus d’illustrer des processus à l’œuvre depuis plusieurs décennies, comme le manque d’équipements d’infrastructures en espaces ruraux et peu denses, la répartition hétérogène des bornes de recharge révèle des choix de localisation fondés sur une rentabilité spatiale, au détriment parfois de l’équité.
S’il semble logique que les pôles urbains, concentrant bien des flux de visiteurs, disposent d’un équipement à la hauteur, on observe un moindre équipement dans les espaces ruraux et petites villes, pourtant fortement dépendants de la voiture. En d’autres termes, le développement de bornes se concentre encore trop sur les espaces où l’offre d’alternatives à la voiture est la meilleure. De ce fait, l’action publique s’avère cruciale pour pallier cette défaillance du marché et compléter une offre de recharge privée faible ou inexistante dans les territoires ruraux [30].
2. L’indispensable soutien aux nouvelles filières stratégiques de décarbonation des transport
Pour réussir la transition, le déploiement de technologies matures doit aller de pair avec le développement de filières d’emplois et de savoir-faire pour soutenir la décarbonation du transport de personnes. C’est la deuxième priorité de l’État catalyseur de transition.
L’émergence de la filière du retrofit est à ce titre pleinement d’actualité. Le terme désigne le reconditionnement d’un véhicule thermique en véhicule électrique. Il convient de sortir cette nouvelle filière de son marché de niche réservé aux amateurs de voitures de collection. Pour la majorité des automobilistes qui ne peuvent se passer de leur voiture, le retrofit constitue une solution alternative à l’acquisition d’un véhicule électrique neuf. Depuis le 1er juin 2020, une aide publique est à la disposition des particuliers à faible revenu [31], à hauteur de 80 % du prix d’achat. Il faut également effectuer un trajet domicile-travail supérieur à 30 km pour bénéficier de l’aide. En somme, le retrofit coûte 2 à 3 fois moins cher que l’achat d’un véhicule électrique neuf
Dans son étude sur le retrofit, de mars 2021, l’ADEME [32] soutient cette « option pertinente pour réduire l’impact des polluants atmosphériques » et montre surtout l’importance de cibler les citadines et les autobus. Le retrofit peut se faire à partir de dix ans d’utilisation d’un véhicule, et s’inscrit dans l’économie circulaire en évitant la mise à la casse et maximisant la réutilisation de tous les composants du véhicule. Il incite aussi à l’éco-conduite et la protection du véhicule d’origine, afin de réduire au maximum les coûts de conversion une fois la mi-vie atteinte.
La première cible serait donc la citadine, car elle circule régulièrement et plutôt sur des courtes distances, un profil facilement adaptable à l’autonomie d’un véhicule électrique. Le marché de la conversion électrique, encore à ses débuts, est d’ailleurs principalement situé sur les citadines et l’autopartage. Enfin, dans un contexte où les ZFE réduisent drastiquement le parc automobile thermique en ville, le parc des citadines reconditionnées a un fort potentiel.
L’ADEME montre qu’une voiture thermique moyenne émet, en moyenne, 193 gCO2 par kilomètre, tandis qu’une voiture électrique en émet 20 [33]. En revanche, la majorité des impacts environnementaux d’un véhicule électrique résident dans la phrase de fabrication [34]. De fait, l’ADEME montre l’intérêt de cette solution en matière d’émissions de GES tant dans la phase de fabrication (-47% d’émissions par rapport à la fabrication d’un véhicule électrique neuf et la mise à la casse d’un véhicule diésel) que dans la phase d’utilisation du véhicule (-66% par rapport à un véhicule diésel) [35].
Dès lors, le retrofit pourrait intervenir dans les deux phases successives et lisser les impacts. En effet, un véhicule reconditionné en électrique profiterait d’une fabrication moins émettrice (il s’agit d’ajouter une batterie, et pas de fabriquer tout un véhicule) et d’une utilisation elle aussi plus économe. En somme, allier la fabrication d’un véhicule thermique et l’utilisation d’un véhicule électrique. Et réduire les deux coûts associés.
En ce qui concerne les différents coûts d’utilisation, l’ADEME estime que prolonger un véhicule diesel pendant 10 ans coûterait 0,12 euros par kilomètre, tandis que la mise à la casse du véhicule puis l’achat d’un véhicule électrique neuf coûterait 0,24 euros le kilomètre. La possession et l’utilisation d’un véhicule reconditionné se situe entre les deux, à 0,21 euros par kilomètre. Si la différence n’est pas encore notable entre la prolongation d’un véhicule diesel et le retrofit, l’opération reste moins cher que l’achat d’un véhicule électrique neuf. Les politiques publiques et subventions à l’achat soutenant la filière naissante du retrofit, viseraient donc à réduire ce coût par kilomètre et le rapprocher au plus près de l’extension d’un véhicule diesel.
En somme, même si le marché du retrofit sur ce type de véhicule est encore naissant, la technique est déjà maitrisée et opérationnelle. En termes économiques, l’activité du retrofit est déjà pourvoyeuse d’emplois en France, et notamment chez les garagistes et autres professionnels du service automobile en crise (42 000 emplois d’ici 10 ans, si 3% du parc automobile est rétrofité par an, selon l’association AIRe [36]). L’État soutient déjà cette filière naissante en intégrant le retrofit dans la prime à la conversion. Consolider cette filière demanderait une intégration de ce service dans les activités des concessionnaires automobiles, afin d’offrir aux usagers un suivi homogène de leur véhicule et l’entretien sur les deux vies du moteur en question. Nous proposons une obligation légale pour les constructeurs de proposer une solution homologuée de retrofit pour tout véhicule commercialisé ainsi qu’un accompagnement de la puissance publique pour les mêmes constructeurs, dans le cadre d’une politique spécifique de R&D et de formation professionnelle adaptée. Certains constructeurs automobiles s’organisent déjà de façon proactive pour structurer la filière : c’est le cas du groupe Renault qui, dans le cadre de son plan stratégique « Renaulution », place le retrofit au cœur de la nouvelle usine de Flins dédiée à l’économie circulaire. Autre exemple, Phoenix Mobility, jeune entreprise française, est devenue en 2021 l’un des fleurons européens de la conversion électrique et se lance actuellement dans une levée de fonds de 3 millions d’euros.
Cela dit, plusieurs freins existent encore au développement d’une filière compétitive et durable. Ce type d’activité est forcément éphémère, dans un contexte où les véhicules thermiques ne seront plus autorisés à la vente en 2030 et le nombre de véhicules à convertir en baisse. Ensuite, plusieurs freins techniques existent : le coût de développement du kit de conversion reste élevé et l’homologation lente. Enfin, un manque d’harmonisation européenne sur ces sujets ralentit les perspectives de marché.
Cependant, dans le scénario où les véhicules à convertir viendraient à manquer, le segment des poids lourds et autobus conserve un fort potentiel d’accélération. Là encore, la redistribution des subventions et le système de soutiens à l’achat doivent impérativement prendre en compte ces différences.
3. L’indispensable investissement en recherche dans des technologies de rupture
Le soutien aux technologies matures et l’investissement dans le renouvèlement de l’existant ne sauraient être robustes sans le soutien à la recherche et développement dans des technologies de rupture pour permettre de décarboner l’économie. Il s’agit avant tout de rendre complémentaires les solutions et d’assurer que l’infrastructure renouvelée accueille aussi bien les technologies maitrisées que les expérimentations prometteuses. Pierre Veltz ne dit pas autre chose dans son dernier ouvrage, L’économie désirable (2021), où il appelle à un « grand retour de l’État ». Il affirme que les États doivent investir dans la recherche de rupture technologique aussi massivement qu’ont pu le faire en d’autres temps les États-Unis dans le développement de programmes militaires (Projet Manhattan), de conquête spatiale ou de développement des technologies numériques.
À ce stade, le compte n’y est pas. L’Agence internationale de l’Énergie [37] a ainsi alerté sur le fait que les plans de relance issus de la crise Covid ne sont pas à la hauteur des enjeux. A l’été 2021, les gouvernements ont mobilisé 16 000 milliards de dollars (13 600 milliards d’euros) de soutien budgétaire en réaction à la pandémie, mais n’ont consacré qu’un sixième de leurs plans de relance à la transition énergétique. A titre d’exemple, le plan France 2030 contient plusieurs objectifs de décarbonation des transports : investissements dans la recherche, la production et le déploiement de l’hydrogène, redynamiser la production de véhicules électriques et hybrides (2 millions par an), ouverture en 2030 de 7 millions de points de recharge en France.
L’État catalyseur de transition, en prenant l’initiative d’investissements publics dans des programmes innovants, peut amorcer la création d’un nouveau marché potentiel. Mais son rôle se limite – et c’est important – à cette amorce de marché, plutôt qu’une compensation des défaillances d’un marché tâtonnant trop.
Les technologies de rupture dans lesquelles investir doivent cependant être guidées par un principe de sobriété, afin de ne pas créer une distorsion ou un effet-rebond. En effet, l’amélioration de l’efficacité d’une innovation (et notamment son besoin en ressources), s’accompagne souvent d’une baisse du prix, ce qui rend le bien plus désirable, plus consommé. De là une hausse de la consommation, qui dépasse de loin le gain unitaire réalisé. C’est le cas, par exemple, des métaux rares des composants électroniques : la demande en minerais rares, censée servir les énergies renouvelables, augmente de 10 % par an, avec les désastres écologiques qu’on connaît.
Appliquer ces concepts aux technologies de rupture en mobilité demande de réaliser un investissement public serré autour d’usages rationnalisés et maitrisables. A titre d’exemple, l’Union Européenne a lancé en 2020 un appel à projets sur quatre ans afin d’encourager le développement de solutions pour faciliter la recharge de véhicules électriques, avec un budget de 17 milliards d’euros. Parmi elles, une solution innovante qui pourrait bénéficier du système cité plus haut, amorcé par l’investissement public, serait la route à induction, qui recharge les véhicules lorsqu’ils roulent. Cette technologie offre une sérieuse solution au temps de recharge et à l’inquiétude quant à l’autonomie des véhicules électriques, frein important à la croissance du marché. Aujourd’hui en cours de développement, elle concerne tous les véhicules et n’a qu’un moyen impact sur l’infrastructure même : bien qu’il faille poser de nouveaux enrobés, la localisation du linéaire et les travaux primaires de construction de la route restent inchangés. En Île-de-France, il est prévu de réaliser pour 2023 la première portion expérimentale de route électrifiée, rechargeant 120 km pour une heure de trajet [38]. Aux Pays-Bas, un projet similaire appelé Smart Highway développe les mêmes ambitions.
Ce secteur n’est encore qu’au stade expérimental et pourrait de fait bénéficier d’une amorce via l’investissement public, notamment sur les freins suivants : les importants travaux de raccordements, notamment pour la puissance de charge des poids-lourds, cible prioritaire, et d’importants enjeux d’entretien et de suivi des consommations. Enfin, le coût total de modification des infrastructures reste encore très élevé.
4. Le recyclage d’infrastructures existantes pour favoriser de nouvelles mobilités sous contrainte budgétaire
Enfin, l’État catalyseur de transition est amené à imaginer de nouvelles solutions sous contrainte budgétaire. Dans ce contexte, une solution à la transition bas carbone du transport peut consister à investir pour transformer des infrastructures existantes, dont le coût de transformation serait plus bas que l’investissement nécessaire pour construire ex nihilo une nouvelle infrastructure proposant un service de mobilité comparable.
Plusieurs projets font preuve d’ambition dans la rénovation d’infrastructures. Le rétablissement de voies ferrées a bonne presse, mais concerne davantage des mobilités localisées et régulières, souvent de faible fréquence. A ce titre, Jean Castex inaugurait, dimanche 12 décembre, le rétablissement de la ligne SNCF Epinal-Saint-Dié, ouverte après une rénovation de 21 millions d’euros exclusivement financés par l’État et la région.
La controverse née du projet de nouvelle ligne LVG Bordeaux-Toulouse montre combien le coût des nouvelles infrastructures est important. Les débats sur l’origine du financement de la ligne ou encore sur les communes desservies et l’urgence de rénover plutôt les petites lignes existantes rappellent aussi la conflictualité qui entoure aujourd’hui les grands projets. En septembre 2021, le Conseil d’État a validé une nouvelle ligne à grande vitesse entre les deux métropoles, un chantier de 14 milliards d’euros (4 milliards financés par l’État, le reste entre les collectivités locales et les fonds européens). Cependant, plusieurs élus locaux, dont le maire de Bordeaux, s’opposent au projet et défendent, au lieu d’une construction de ligne LGV, la rénovation de lignes existantes : Bordeaux-Toulouse et Bordeaux-Hendaye. Selon les études défendues par ces élus, le projet de rénovation s’élèverait à 7 milliards d’euros au maximum, contre les 14 milliards de la LGV. Au cœur de la controverse, au-delà des budgets : l’accessibilité de tous les habitants aux lignes de trains. Les lignes existantes proposées tissent un maillage mieux réparti entre les villes, plutôt qu’une ligne TGV, qui comporte son risque d’effet tunnel.[39] Dès lors, la fracture sociale est un argument utilisé pour les deux positions du projet : la ligne TGV équilibrerait les dynamiques de développement entre Toulouse et Bordeaux, tandis que les plus petites lignes locales intègreraient mieux leurs périphéries respectives. Quoiqu’il en soit, et si le projet de LGV semble en bonne voie (le Conseil Départemental des Landes a voté, le 10 décembre 2021, le budget de 98,6 millions d’euros sur 40 ans), cette controverse soulève la nécessité d’arbitrer entre des choix d’investissements alternatifs aux coûts d’investissement et de gestion différents.
Ces exemples soulignent deux urgences. En premier, l’investissement public pour rénover l’infrastructure et assurer une complémentarité entre mobilités et infrastructures qui les accueillent. Ensuite, l’intégration de tous les territoires et profils sociaux dans les aménagements d’infrastructures, pour tous les modes. C’est bien la complémentarité qui apportera, in fine une solution pour baisser les émissions du transport.
Conclusion
En nous interrogeant sur le rôle de l’État pour relever le défi de la transition bas-carbone des mobilités sans former de nouvelles inégalités, nous avons esquissé les contours d’un « État catalyseur de transition » dont l’objectif est d’accélérer la vitesse de la transition vers une société bas carbone sans pour autant se substituer à l’ensemble des acteurs qui doivent prendre leur part de responsabilité (entreprises, territoires, citoyens). Nous avons ainsi présenté plusieurs pistes permettant d’illustrer la forme que pourrait prendre cette nouvelle intervention publique en matière d’investissement dans la recherche, de réinvestissement dans les infrastructures et véhicules existants, et d’aménagement du territoire. C’est tout le sens du Renew Dealque nous défendons dans cette note pour relever le défi climatique.
Toutefois, cette réflexion sur le rôle de l’État pour relever le défi de la transition bas-carbone des mobilités ne serait que partiel si nous nous arrêtions là. Pour aller plus loin, il nous semble indispensable d’engager une réflexion sur les transformations nécessaires de l’État-providence. C’est la raison pour laquelle nous proposons une réflexion complémentaire autour de ce que nous appelons un « État-providence de transition ». Ce sera l’objet du deuxième volet de ces travaux que d’en esquisser les contours.
[1] Ibid.
[2] Décarboner la route : une urgence écologique, novembre 2021, Altermind pour VINCI Autoroutes
[3] Ibid.
[4] L’environnement en France, rapport sur l’état de l’environnement, notre-environnement.gouv, 2019.
[5] Gt CO2 : un milliard de tonnes CO2.
[6] Transport CO2 and Paris Climate Agreement: where are we six years later ? International Transport Forum/OCDE, 2021.
[7] Stratégie Nationale Bas Carbone, disponible ici : https://www.ecologie.gouv.fr/sites/default/files/2020-03-25_MTES_SNBC2.pdf
[8] Dans le cadre d’un bilan carbone, le scope 1 correspond aux émissions directes, le scope 2 aux émissions indirectes liées aux consommations énergétiques, tandis que le scope 3 répertorie les autres émissions indirectes.
[9] Décarboner la route : une urgence écologique, novembre 2021, Altermind pour VINCI Autoroutes
[10] Aurélien Bigo, Les Transports face au défi de la transition énergétique, Thèse de doctorat de l’Institut Polytechnique de Paris, 2020.
[11] The Shift Project, État d’avancement du PTEF à fin 2020 et La transition bas carbone : une opportunité pour l’industrie automobile française ? (novembre 2021)
[12] Selon le Shift Project, le kilométrage annuel du parc de véhicule particulier est estimé actuellement à 450 milliards de véhicule-km/an et devra atteindre 298 en 2050 (en cas de baisse de 34%). La taille du marché du véhicule neuf renouvelant le parc est de 2,1 millions de véhicules/an et devra passer à 1,4 million (État d’avancement du PTEF à fin 2020).
[13] P.Veltz, « L’économie désirable, sortir du monde thermo-fossile », Seuil, 2021.
[14] Pottier, Antonin, et al. « Qui émet du CO2 ? Panorama critique des inégalités écologiques en France », Revue de l’OFCE, vol. 169, no. 5, 2020
[15] La Fabrique de la Cité, 06/01/2022, Mobilités bas carbone : découvrez les résultats d’une enquête d’opinion inédite : https://www.lafabriquedelacite.com/actualites/mobilites-bas-carbone-les-resultats-dune-enquete-dopinion-inedite.
[16] The Shift Project, État d’avancement du PTEF à fin 2020 et La transition bas carbone : une opportunité pour l’industrie automobile française ? (novembre 2021)
[17] Sondage effectué par le Haut conseil pour le Climat, Mai 2020. Disponible ici : https://www.hautconseilclimat.fr/wp-content/uploads/2020/07/les-francais-et-la-transition-climatique-presentation-harris-interactive.pdf
[18] « De plus en plus de personnes travaillent en dehors de leur lieu de résidence », Insee Première, No1605, Juin 2016, INSEE.
[19] Commune peu dense : comprise entre 300 hab/km2 et 25 hab/km2. Commune rurale : inférieure à 25 hab/km2. Source : INSEE, La grille communale de densité, 28/07/2021 : https://www.insee.fr/fr/information/2114627
[20] Dictionnaire Larousse, 2022
[21] Les Grands défis économiques, Tirole, Blanchard, Rapport pour le gouvernement, 2021.
[22] https://op.europa.eu/webpub/eca/lr-energy-and-climate/fr/#box8
[23] I4CE,Panorama des financements climat, édition 2018.
[24] « Guide pour l’installation de bornes de recharge de véhicules électriques et hybrides rechargeables en copropriété », Association nationale pour le développement de la mobilité électrique, Avril 2021.
[25] La guerre des métaux rares: La face cachée de la transition énergétique et numérique, 2018, Guillaume Pitron
[26] Ibid.
[27] VINCI Autoroutes, 2022.
[28] « Voitures électriques : le prix de la recharge sur autoroute en forte augmentation », Le Figaro Économie, Février 2020.
[29] Sajous, Patricia, Paul Salze, et Valérie Bailly-Hascoët. « Système automobile et modèles de transports : quelles évolutions pour planifier la mobilité de demain ? », Flux, vol. 119-120, no. 1-2, 2020, pp. 173-184.
[30] Julia Frotey, Elodie Castex, « Enjeux régionaux de la diffusion spatiale d’un équipement de mobilité́ : l’infrastructure de charge pour véhicules électriques. L’exemple des Hauts-de-France », Géotransports, 2017.
[31] Un revenu fiscal de référence inférieur ou égal à 6 300 euros.
[32] https://librairie.ademe.fr/mobilite-et-transport/4590-etude-retrofit.html
[33] https://monimpacttransport.fr – ADEME, 2022.
[34] « Les potentiels du véhicule électrique », ADEME, Avril 2016.
[35] « Étude rétrofit – Conditions nécessaires à un rétrofit économe, sûr et bénéfique pour l’environnement », ADEME, Mars 2021.
[36] https://association-aire.org
[37] https://www.iea.org/reports/sustainable-recovery-tracker
[38] Région Île-de-France, COP Région Île-de-France, septembre 2020.
[39] Le fait qu’un axe de transport rapide traverse à un territoire sans le desservir.
Ces autres publications peuvent aussi vous intéresser :
Oslo : à l’avant-garde de la décarbonation urbaine
Pour décarboner les transports, surmonter nos idées reçues
Jour 4 : La route, un espace commun ?
Jour 3 : « En route »
Jour 5 : Les imaginaires de la route
Jour 1 : La route au cœur du patrimoine français
Jour 2 : La bataille de la route : la route face aux défis environnementaux
« Et si le monument le plus durable était justement la route ? » Aurélien Bellanger
« On passe tant de temps sur la route que l’on arrive à l’habiter » Luc Gwiazdzinski
Comprendre la route
« Il faut construire un réseau de mobilité durable plus accessible » Aurélien Bigo
Décarbonation automobile : une solution pour quelles transitions ?
Accélérer la transition énergétique : comment territorialiser ?
La Fabrique de la Cité
La Fabrique de la Cité est le think tank des transitions urbaines, fondé en 2010 à l’initiative du groupe VINCI, son mécène. Les acteurs de la cité, français et internationaux, y travaillent ensemble à l’élaboration de nouvelles manières de construire et reconstruire les villes.

